ÚLTIMOS PROYECTOS QUE HEMOS LLEVADO A CABO
- Identificación y análisis filogenómico de SARS-CoV-2 en muestras de aguas residuales mediante secuenciación genómica y análisis bioinformático.
- Análisis metilación diferencial en muestras principalmente humanas.
- Estudio comparativo de secuencias víricas: Patógenos respiratorios humanos para diseño de kits de identificación.
- Estudio comparativo de genomas bacterianos, búsqueda de marcadores de virulencia y funcionales.
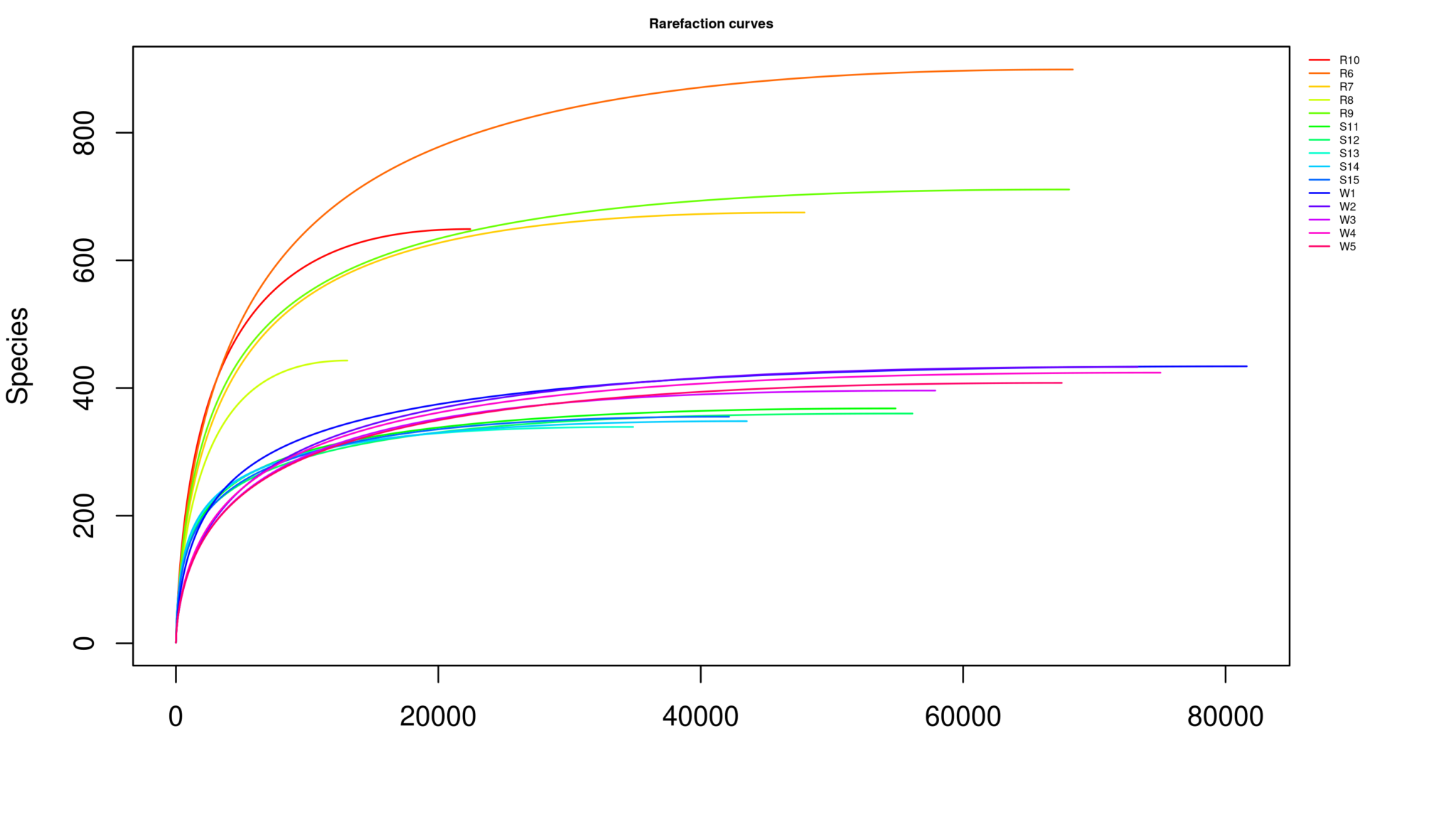
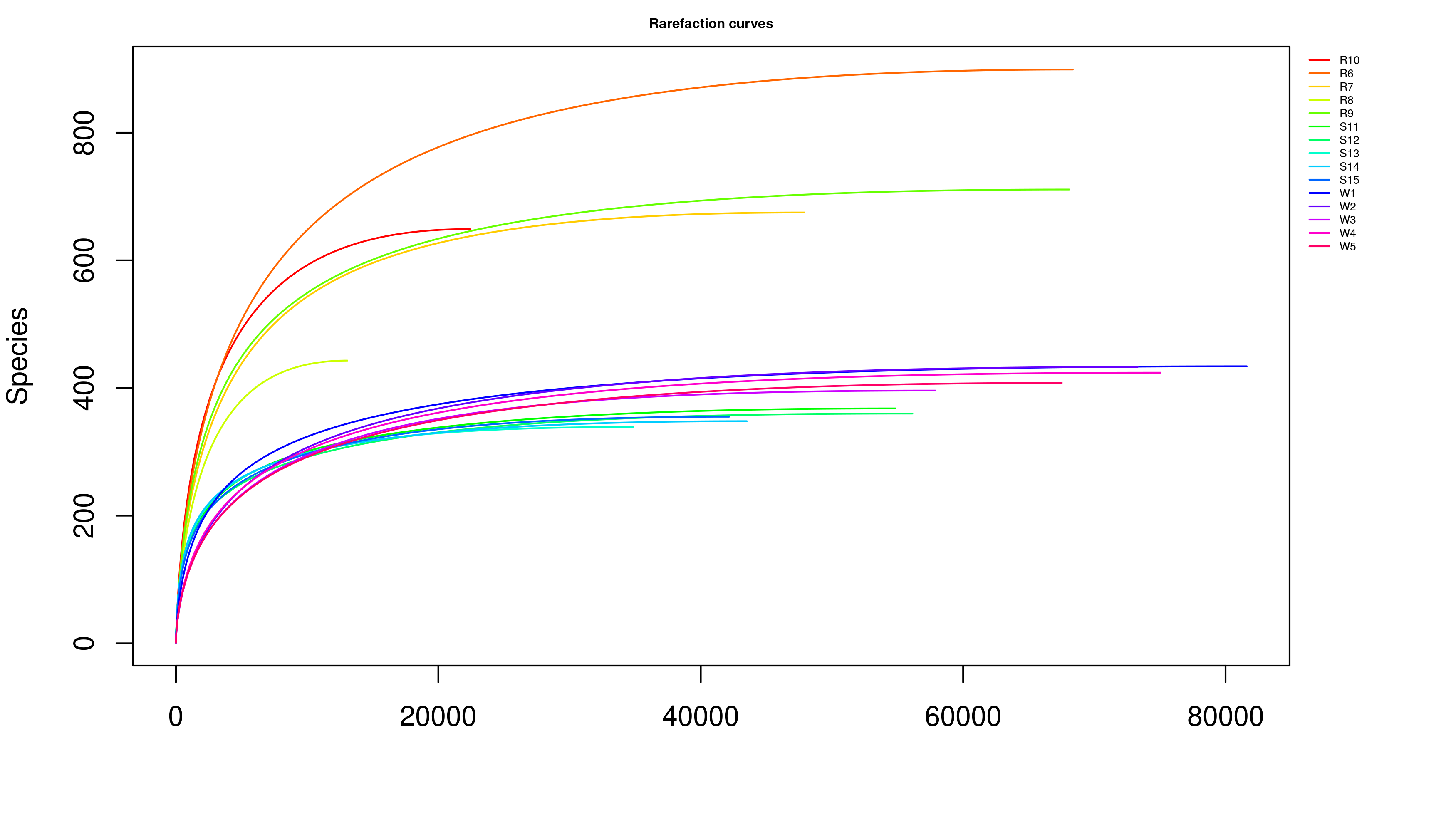
- Asignación taxonómica, metagenómica, de muestras ambientales y clínicas. Destacando estudios de muestras clínicas de heces tanto humanas como animales, estudios de contaminación de aguas.
- Caracterización específica de genomas bacterianos en la industria agropecuaria.
- Análisis de expresión diferencial RNASEQ en muestras humanas y animales.
- Análisis metagenómico de muestras víricas complejas (aguas residuales, muestras ambientales y ganaderas) identificación y reconstrucción virus.
- Reconstrucción de genomas bacterianos.
- Análisis metatranscriptómicos de muestras clínicas y ambientales.











